为大忙人准备的桥牌快速入门(一) 基本规则
拿到牌,先别急着翻开,先背面朝上数一下,保证了是13张再翻开。这主要是避免比赛的时候其他桌子也打的这副牌,但是收牌的时候出了问题,这个时候额外数一遍发现错误后可以立刻叫裁判,但是看了牌以后就比较难处理了。平时尽量还是养成好习惯为好。
翻开牌开始理牌,一般按照花色分开、一门花色按照大小排列即可。怎么理是随意,但是要保证能看得清楚并且不会出错牌。
如果有牌套,牌套上面会写一个“Dealer”(上图里面,North北家是Dealer)。如果没有这些设备,那么谁发牌谁就是Dealer。从Dealer开始,顺时针叫牌。
叫牌阶段:
从Dealer开始,顺时针叫牌。叫牌的原则以后会慢慢科普,现在只讲最基础的规则。
叫牌的目的是为了定一个将牌和一个阶数。每个人如果要做实质性叫牌,需要叫出一个“数字+花色”的组合。
数字不能小于1也不能大于7。花色必须是“无将 黑桃 红心 方片 草花”之中的任意一个。
举例,北家开叫 “1黑桃” ,或者“1S”。
这个时候,其他家如果要做实质性开叫,必须在1S的上面继续叫,不能开倒车。比方说这个时候就不能再叫“1草花”或者“1C”,因为草花比黑桃的花色优先级要低;但是可以叫“2草花”或者“2C”,因为阶数(前面的数字)高了一阶。
简而言之:7NT>7S>7H>7D>7C>6NT>6S>6H>6D>6C>...>1NT>1S>1H>1D>1C

叫牌盒. 图片来自百度
比赛的话(或者你自己去买也行,反正不贵)会有这种叫牌盒。只要有人叫了一个实质性叫品(也就是数字+花色)后,你不能在上方或者右侧拿叫牌卡片出来。叫牌是从右上叫到左下的。

叫牌卡片. 图片来自百度
我们可以看到,除了上面的实质性叫牌(数字+花色)外,下面还有"X" "XX" "Pass"三个卡片。
"Pass"表示不叫。一般记牌的时候用 / 符号。
"X"表示加倍,必须对对手(敌人)的实质性叫品使用,如果敌人打这个定约的话得分加倍,输分加倍。(算分等后文)
"XX"表示再加倍,必须对对手的加倍使用,如果自己打这个定约的话,得分再翻倍,输分再翻倍(也就是四倍了)
注:剩下几张牌:
TD=Tournament Director裁判,A=Alert警告,Stop停下,是比赛的时候才会用到的,我在此说一下用法吧。
TD只要在叫牌过程中认为有问题需要叫裁判后,就可以把这个卡片放在叫牌盘上,这个时候其他人就不允许再动,直到裁判过来。
Alert当你作出一个不太常规的约定性叫品(可能只有你和你同伴知道什么意思),你的同伴需要放这个牌子,并且当被你的下家、你同伴的上家问到后要解释叫品是什么意思。
Stop当你作出一个跳叫叫品后使用,你的下家必须在10秒钟以后才能叫牌(避免非法信息,比方说立刻叫了个叫品,或者等了许久以后才叫)
如果一开始就是4个pass,或者任意“数字+花色”的叫品、加倍或者再加倍叫品后连续跟3个pass,那么叫牌结束,开始打牌。否则,顺时针方向一直继续,直到满足前面条件为止。
e.g.:
N E S W
1C 2C 3C 3H
X / / XX
4C 4H 5C /
/ /
e.g.2:
N E S W
1C 3C / /
第一个例子:
5C跟着3个pass后叫牌才结束,定约为5C(5草花)。之前的加倍和再加倍因为是对3H作出的,所以不会作用在5C上。
再强调一次,叫牌的时候要注意你作出的实质性叫品必须要高于之前的所有叫品,比方说上面的南家S作出过3C,这个时候W西家是不能叫2H(虽然红心高于草花,但是因为2<3;不能开倒车)
第二个例子:
E的3C后3个pass,叫牌结束。
打牌阶段:
借用上面第一个例子,我们已经定了5C为定约。
首先是庄家:庄家并不是最后一个结束叫牌的人做的。上面第一个例子,虽然5C是由S叫出的,但是庄家是N,因为他第一个叫出草花这个花色。
当然,庄家肯定是最后实质性叫牌的那个人的那一边。上面第二个例子,虽然草花是由N第一个叫出,但庄家无疑是E(总不可能给没抢到定约的N坐庄吧)。
定好了庄家,庄家的下家就是首攻,庄家的同伴就是明手。
首攻任意打出一张牌,打出牌以后,明手把自己的牌全部摊在桌子上给另外三家看,然后闭嘴。明手没有任何出牌权,只能听庄家指挥。
接下来就是打牌规则了。每人13张牌,每轮出1张比大小,总共有13轮。
在桥牌里面,A最大,2最小,切记。
将牌花色>这一轮第一张牌的花色>垫牌。当然,无将的时候不存在将牌花色。
比方说,首攻打出了第一张牌,红心2。那么,其他三个人手中,如果有红心,必须出红心。没有红心,才可以考虑出将牌或者随便垫一张牌。垫牌永远是最小的。
4张牌打下来,比较大小快连,然后最大的那个人出下一轮的第一张牌。注意,因为你和坐你对面的同伴是同一队的,所以如果你同伴牌已经大了你一般就没必要出大牌了。
当你队一轮牌大了,这轮牌比较完后,每个人把自己的牌拿回来,反扣在桌子上。如果你方赢了这一墩,牌竖着放,否则横着放。然后每一轮的牌都要放在一起一个挨着一个,组成桥的样子。
每一轮称之为一墩。13张就是13墩。打完以后要统计赢了多少墩,输了多少墩。
还记得前面的“数字+花色”吗?花色说过快连,是决定将牌的。那么数字呢?是决定庄家要赢多少墩的。
数字要求在1~7,对应的要赢7~13墩。叫的越高要赢的越多。简单的记法就是,庄家要赢(6+X)墩可以完成定约(刚好是比一半的墩多多少阶),防守方要赢(8-X)墩才可以打宕定约。宕大概和英语的down是一致的,描述定约少完成了几墩。
e.g.
假设前面第一个例子,N坐庄的5C,最后NS方向赢了10墩,EW方向赢了3墩。
定约是5阶,需要赢5+6=11墩,才算完成定约。所以如果只赢了10墩,叫做“宕1”。
总结一下:
一副牌发牌后,从发牌者或者牌套规定的人开始叫牌。叫牌可以叫数字+花色,可以叫pass,可以对对手敌方的数字+花色叫加倍,可以对对手敌方的加倍叫再加倍。你叫出的数字+花色必须高于前面的人的数字+花色。
当数字+花色或者加倍或者再加倍后连续3个pass,叫牌结束,开始打牌。抢得定约的一方第一个叫出最终定约花色的为庄家,庄家下家是首攻,首攻打出第一张牌;庄家同伴是明手,首攻打出来牌后明手摊牌给三家看、给庄家指挥。
哪一家某一轮最大,则下一轮第一个出牌。如果你有第一个出牌人的那门花色的牌,就必须出那门花色,否则可以将吃或者垫牌。
庄家需要赢(6+X)墩来完成定约。防守方需要赢(8-X)墩打宕。
p.s. 基础规则看完后如果还有不懂的可以看看这里(强烈推荐)
暂不支持
四. 算分细节
如果还没有了解基本的打法,请多看看我写的、我上面推荐的以及自己上网查一下。
此部分只是介绍如何算分,初学者没必要记,如果有叫牌盒叫牌卡,卡的背面也会写得多少分,如果牌桌里面有老司机会帮你们一手包办的(笑)。
首先看局况。还记得上面的牌套吗?还记得牌套上面有个1吗?没错,那表示第一副牌。
有了1,就有2有3..一直到16.
牌16副为一个周期。局况有4种:
双方无局 南北有局 东西有局 双方有局
有局(Vulnerable) 当哪一边有局的时候,赢或者输的分数都会多一些。
从第1副开始到第16副,局况分别为:
双方无局 南北有局 东西有局双方有局
南北有局 东西有局双方有局双方无局
东西有局双方有局双方无局 南北有局
双方有局双方无局 南北有局 东西有局
看得出平移的规律吧?还是很好记的(虽然也没必要)
有牌套的话牌套上面也会标,黑色表示无局,红色表示有局。
当一副牌打完后,如果是比赛的话需要记录,一个定约+最终情况(完成?宕几?),或者all pass(一开始就4个pass,记0分)。
比方说上文举例过的5C,则记作:5C -1.
宕的分数和定约的阶数是无关的。无论叫多高,宕了一墩就都是同样的分数。
先介绍完成定约的分数。
完成定约后,分数主要由3个部分组成:
1. 基础墩分
2. 超墩墩分
3. 奖分
I. 基础墩分
高花(黑桃红心)每墩30分,低花(方片草花)每墩20分,无将第一墩40分,以后每墩30分。(没错,低花就是没人权)
比方说叫5C,并且完成了,基础墩分就是5*20=100分。
比方说叫了3NT,基础墩分就是40+30+30=100分。
比方说定约是 2H X,2红心加倍,那么基础墩分是 2*30 *2(加倍) = 120分
比方说定约是 2C XX,2草花再加倍,那么基础墩分是 2*20 *4(再加倍) = 160分
II. 超墩墩分
如果没有加倍,超墩墩分和基础墩分一样。
如果加倍了,无局(上面的局况还记得吗?)每墩100分,有局每墩200分。
如果再加倍,无局每墩200分,有局每墩400分。
III. 奖分
奖分分为三部分:
1. 成局(不成局)奖分
2. 满贯奖分
3. 加倍/再加倍奖分
下面来细说。
1. 这里是个纯粹的判断,if( 基础墩分>=100 ) 成局; else 不成局;
除了你叫到定约的高度外,还有加倍、再加倍会影响是否成局。
如果不加倍的话,3NT 4S 4H 5D 5C 是成局的分界线,请务必记住。这也是为什么拿着好牌要尽量叫到局,因为有额外的奖分。
不成局奖分为50分,成局奖分有局时500,无局时300分。
注意:成局和局况是无关的。不成局定约又叫部分定约。
2. 满贯奖分
如果叫到6并且完成,为小满贯。叫到7并且完成,为大满贯。
小满贯奖分:无局500分,有局750分。
大满贯奖分:无局1000分,有局1500分。
3. 加倍/再加倍奖分
只和定约是否被加倍有关。完成加倍定约是50分,完成再加倍定约是100分。
注意:同一项里面的奖分不叠加,不同项奖分可以叠加。
e.g. 小满贯奖分可以叠加成局奖分;但小满贯和大满贯不能叠加。
下面演示算法:
E.G.1: 有局 6S XX +1
基础墩分: 6*30*4 = 720
超墩墩分: 400*1 = 400
奖分: 成局500+小满贯750+再加倍100 = 1350
总计: 720+400+1350 = 2470
E.G.2: 有局 7S X
基础墩分: 7*30*2 = 420
超墩墩分: 0
奖分: 成局500+大满贯1500+加倍50 = 2050
总计: 420 + 2050 = 2470
E.G.3: 无局 2S+2
基础墩分:2*30=60
超墩墩分:2*30=60
奖分: 不成局50
总计: 170
注:虽然赢得了10墩,能打4S快连,但是因为没有叫到,所以拿不到成局奖分。
E.G.4: 无局 2C XX =
注:=表示刚好make,也就是刚好赢得最低所需的墩数。
基础墩分: 2*20*4 = 160
超墩墩分: 0
奖分: 成局300+再加倍100 = 400
总计: 560
注: 可见如果没有十足的把握不要加倍,不然就是送别人成局奖分
作业:有局 6S =
答案是1430,自己尝试补全一下过程。
下面来讲讲如果没有完成定约,宕的分数怎么算
未加倍无局:每宕一墩是50分。即宕一50,宕二100,宕三150...
未加倍有局:每墩100分。宕一100,宕二200...
加倍无局:不规律,记前几墩就行,以后每墩300分。100,300,500,800,1100...
加倍有局:第一墩200,以后每墩300。200,500,800,1100...
再加倍:是加倍的两倍。
e.g. 有局7NT XX -13.
如果是加倍的话,第一墩200,后面的12墩是300,即: 200+12*300=3800
再加倍是加倍的两倍。3800*2=7600
桥牌的顶分(笑)
五. 队式赛
基本没有运气是桥牌的一大魅力。比赛中有许多赛制,比如各种双人赛、单人赛,以及现在在讲的队式赛等等。
队式赛,每队一般同时参加的为4个人(当然全队可能有很多人)。那么,两队较量时就为8人。
8人刚好坐两桌。其中一队在一个桌子坐南北,那么同一队的另外两个人就坐另一个桌子的东西。
e.g. ABCD一队,EFGH一队
一桌AB坐南北,EF坐东西;另一桌GH坐南北,CD坐东西。
然后开始打牌。比方说打16副一个周期。两桌牌是一模一样的。最后用两桌的结果相减,算出一个分,然后再换算成imp。
分数与imp是一一对应的。具体的算法比较复杂,涉及到很多数学(要指数开根的,不是人形计算机还是查表吧)。

imp换算表
注意这里是分差。是先分数相减再查,不是两边的分数都查了以后imp相减。
当打完16副后,每边都得了一定的imp,接下来要把imp换算成vp,得到最终的分数。

vp换算
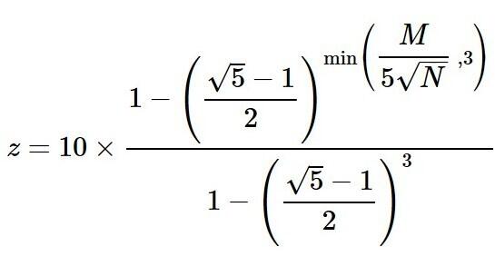
M为imp分差,N为牌的副数。胜利方(imp多的)为10+z,负方为10-z。
每队交战最后会得出vp对比,然后可以通过瑞士轮、双败、循环等不同的赛制来决出冠军。
六. 后话
洋洋洒洒这么多字,实际上的内容其实并不多。作为新人,主要还是要弄懂叫牌和打牌的规则,并且理解为什么有好牌时通常定约要尽量叫高,叫到3NT 4S 4H 5D 5C或者6、7阶去,主要是因为能拿成局奖分和满贯奖分。

